Dal 16 gennaio 2026 per milioni di fumatori italiani scatterà un nuovo aumento dei prezzi delle sigarette. Il rincaro, ufficializzato con la pubblicazione del nuovo listino dell’Agenzia delle Dogane e dei Monopoli, riguarda quasi 400 marche di tabacchi lavorati e sarà applicato immediatamente in tutte le tabaccherie.
Si tratta di un aggiornamento tecnico ma dagli effetti concreti: già dal primo acquisto, chi fuma si troverà a pagare di più, in alcuni casi fino a 30 centesimi in più a pacchetto. Un aumento che arriva senza annunci politici diretti, ma che si inserisce in un percorso fiscale ormai consolidato.

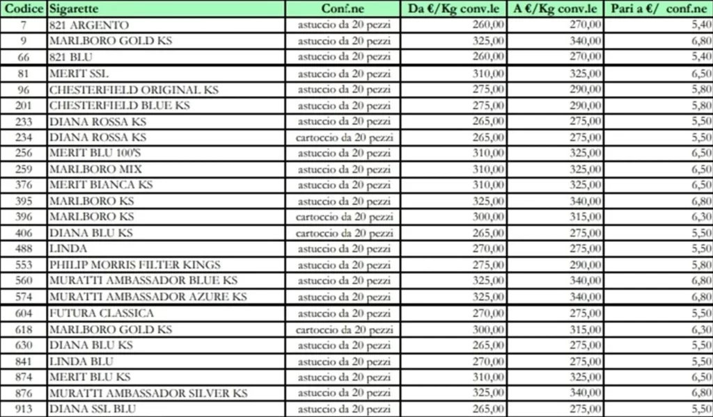
Nuovo listino ufficiale: cosa cambia dal 16 gennaio
Il nuovo tariffario è stato recepito dai tabaccai già nelle scorse ore e diventerà operativo da domani. La Federazione italiana tabaccai (Fit) ha confermato che l’adeguamento dei prezzi sarà immediato e uniforme su tutto il territorio nazionale.
Il provvedimento esplicativo che chiarisce nel dettaglio le motivazioni dell’aumento – con ogni probabilità legato alle nuove accise previste dalla legge di bilancio – verrà pubblicato solo nelle prossime ore. Tuttavia, il mercato ha anticipato i tempi e il rincaro è già realtà.
Sigarette più care: aumenti differenziati
L’aumento non è uguale per tutte le marche. La dinamica segue una logica differenziata:
Alcuni marchi registrano incrementi minimi, mentre altri subiscono rincari più consistenti, fino a 20-30 centesimi per pacchetto. Una variazione che, nel lungo periodo, rischia di incidere in modo significativo sulle spese di chi fuma quotidianamente.
I prodotti maggiormente colpiti sono quelli di largo consumo, rendendo l’aumento immediatamente percepibile anche per i fumatori meno occasionali.


Quanto costerà fumare nel 2026
Con il nuovo listino, il prezzo medio di un pacchetto di sigarette in Italia si avvicina sempre più alle soglie più alte d’Europa. Per chi acquista un pacchetto al giorno, l’aumento può tradursi in una spesa annua maggiore di 70-100 euro, a seconda della marca scelta.
Un impatto che potrebbe spingere alcuni consumatori a ridurre i consumi, cambiare brand o orientarsi verso alternative come tabacco sfuso o prodotti a rischio ridotto.
Non è l’ultimo aumento: cosa aspettarsi nei prossimi mesi
Quello in vigore dal 16 gennaio non rappresenta un episodio isolato. Secondo quanto emerge dal quadro normativo, si tratta solo della prima tranche di adeguamenti prevista per il 2026.
Ulteriori ritocchi sono già programmati e interesseranno progressivamente altre marche e diverse tipologie di tabacchi lavorati. Il settore si prepara quindi a un anno di continui aggiustamenti, in un contesto fiscale sempre più restrittivo.
Un segnale chiaro della politica fiscale
L’aumento dei prezzi delle sigarette rientra in una strategia che combina esigenze di gettito e politiche di contrasto al fumo. Una linea che negli ultimi anni ha portato a rincari costanti e che, secondo gli addetti ai lavori, difficilmente verrà invertita nel breve periodo.
Per i fumatori, il 2026 si apre quindi con una certezza: fumare costerà ancora di più.
















